仪器档案
生产厂商:SCIEX
规格型号:Triple TOF 5600+
启用日期:2016-03-30
所属单位:中心实验室
国家分类:有机质谱仪
存放地点:中心实验室204
管理人员:杨晨晔
联系电话:84391551
仪器案例
案例1:植物中花色苷类物质的定性
前处理方法
该方法参考NY/T 3164-2017及文献。样品研磨成粉末后,称取1.0 g试样于15 mL离心管中,向其加入10.00 mL 体积分数85%甲醇- 0.5 %甲酸提取溶剂,经超声 (20 min) 、离心 (5 000 r/min、10 min) ,取上清液得到花色苷提取液。重复上述步骤一次,合并两次提取液,于-20℃冰箱保存,用于后续检测分析。上机前过0.22 μm滤膜。特别注意:如果要检测的是花色苷,后续不要接水解步骤!水解后花色苷将成为花色素和糖苷,且在质谱中信号不是很强。
仪器参数方法
液相条件:
柱子:Agilent Poroshell C18 2.7um 3.0*100mm
A:乙腈,B:0.1%甲酸水,进样量5ul,流速0.35 ml/min,柱温30 ℃,波长:520 nm。
Time Program:
Time Module Events Parameter
0.00 Pumps Pump B Conc. 90
20.00 Pumps Pump B Conc. 0
27.00 Pumps Pump B Conc. 0
27.10 Pumps Pump B Conc. 90
35.00 Pumps Pump B Conc. 90
35.00 System Controller Stop
质谱条件:
IDA方法,mass range: m/z 100-1000, positive
CUR 35.000,GS1 55 psi,GS2 55.000 psi
ISVF 5500 V,TEM 550.000 ℃,CE 35.000 V,CES 15.000 V
数据分析
花色苷是花青素与不同的糖以糖苷键结合而成的一类化合物,广泛存在于植物的花、果实和叶等器官的细胞液中,使植物呈现由红、紫红到蓝等不同颜色。花色苷属于类黄酮、多酚类化合物,结构中具有特征性的C6-C3-C6碳骨架结构,因此在520 nm处有吸收,可以辅助判断花色苷出峰位置。
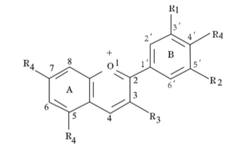
花色苷的基本结构如下图1-1所示,根据苯环中取代基、羟基和甲氧基的数量及位置不同,可以衍生出6种主要的花色苷元,分别是矢车菊色素、飞燕草色素、芍药花色素、天竺葵色素、牵牛花色素、锦葵色素。可以与花青素成苷的糖包括单糖 (如:葡萄糖、半乳糖、阿拉伯糖、木糖、鼠李糖) 、及由这些单糖组成的均一或不均一的二糖、三糖等。只结合一个糖时,一般会结合在花青素碳骨架的3号位置;结合两个糖时,一般会结合在3和5号位置,也可能发生在3和7号位置(Usenik et al., 2009) 。三糖苷 (triglycoside) 的3个糖分子通常2个在C3位和1个在C5位,有时3个在C3位形成支链 (branched chain) 或直链 (linear chain) 结构,糖基很少连在C7位。此外,还连在C3、C4、C5位羟基上。因此,根据结合的位置、糖的数量、种类,可以推测,天然存在的花色苷种类很多,并且存在许多同分异构体。
图1-1 花色苷基本结构
在ESI源正模式下,花色苷类化合物在碰撞裂解后,会有规律地断裂花色素与糖链接的C-O键,从而生成对应的花青素碎片和糖苷配基。所以产生的二级质谱图中,会有对应的特征的花色素子离子,即,矢车菊色素m/z 287.05,飞燕草色素m/z 303.05,芍药花色素m/z 301.07,天竺葵色素m/z 271.06,牵牛花色素m/z 317.06,锦葵色素m/z 331.08。而母离子和子离子的m/z相减后,即为糖苷配基的中性丢失分子的分子量。常见的糖苷配基分子量 (对应的糖脱去H2O) 为:半乳糖苷、葡萄糖苷162,阿拉伯糖苷、木糖苷132,鼠李糖苷146。另外经常会有一些酰化的基团,总结如下表1-1。由此,可以通过二级谱图的这些规律,去推断花色苷物质。
表1-1 花青素、花色苷及常见酰化基团的分子量 (Giusti et al., 1999)
用PeakView软件打开数据后,先显示出TIC图:选择Show → Total Ion Chromatogram,显示总离子流图。在弹出窗口中点选要打开的Experiment (通常为TOFMS) ,点击OK即可。点击Process,下拉菜单下选择Fragment and Neutral Loss Filter。Mass tolerance通常选择默认值0.02 Da,Minimum intensity质量数提取的最低强度,一般选择默认值0,在Fragment m/z中输入对应花色苷特征子离子质荷比,可以输入多个,点击OK即可。软件出现提取的进度条,结束后自动显示包含该子离子的离子流图。对应色谱同时有紫外吸收峰时的位置,即说明为花色苷物质流出位置。双击谱图中的色谱峰,弹出界面使用默认设置Use one spectrum for dependent experiments,点击OK,可以出现一级和二级质谱图。根据特征子离子判断花色素类型,中性丢失分子的分子量判断结合的糖苷类型或者酰化基团类型。
但是由于糖的结合位点以及糖本身同分异构体的存在,导致花色苷存在很多同分异构体,且他们的二级谱图相同,导致在区分同分异构体时,存在一定困难,可以通过查阅文献,通过保留时间的先后进行有限推断。如在C18柱上,对于结合六元糖苷时,半乳糖苷比葡萄糖苷先流出;结合同样的糖苷时,不同花色素流出顺序为:飞燕草、矢车菊、牵牛花、芍药、锦葵 (张杨等,2016)。或者如果有部分标准品,可以通过标准品来进一步判断出峰顺序。下图为加工所团队使用该仪器进行黑莓酒中花色苷定性分析,在《Food Chemistry》上发表文章《Copigmentation effects of phenolics on color enhancement and stability of blackberry wine residue anthocyanins: Chromaticity, kinetics and structural simulation》。
图1-2 LC-QTOF-MS应用于黑莓酒中花色苷成分的定性分析
案例2:氟磺胺草醚降解产物的分析
资环所团队使用该仪器对氟磺胺草醚的降解产物进行检测分析,在《Applied Soil Ecology》上发表文章《Enhanced degradation of fomesafen by a rhizobial strain Sinorhizobium sp.W16 in symbiotic association with soybean》。
仪器参数方法
液相条件:
柱子:Agilent Poroshell C18 2.7um 3.0*100mm
A:乙腈,B:0.1%甲酸水,进样量5ul,流速0.3 ml/min,柱温35 ℃,波长:230 nm, 290 nm。
Time Program:
Time Module Events Parameter
0.00 Pumps Pump B Conc. 90
12.00 Pumps Pump B Conc. 0
17.00 Pumps Pump B Conc. 0
17.10 Pumps Pump B Conc. 90
25.00 Pumps Pump B Conc. 90
25.00 System Controller Stop
质谱条件:
IDA方法,mass range: m/z 100-1000, positive/ negative
CUR 35.000,GS1 55 psi,GS2 55.000 psi
ISVF 5500 V,TEM 550.000 ℃,CE 35.000 V,CES 15.000 V
数据分析
在对降解产物没有任何推测时,首先使用MetabolitePilot软件,对数据进行分析。对结果数据进行过滤,将综合得分过低和质量偏差过大的数据删除,得到初步筛选过的可能降解产物列表,如下表2-1。依次点击结果,根据二级谱图与母药碎片的相似性、分子式组成的合理性等,综合判断分析,找出可能的降解产物。
表2-1 可能的降解产物列表
根据母药的结构式、可能产物的拟合分子式、子离子碎片信息,推测降解产物的结构式。优先选择与母离子碎片有相似性,且二级谱图质量比较高的物质进行进一步分析。对同一个分子式,可能会推测出几种结构式。可以使用 Fragment Pane插件来辅助碎片结构解析(具体步骤参见飞行时间质谱操作手册4.1.6),从而确定降解产物对应的具体结构式。根据得到的几个降解产物结构式,可以进行降解途径的推测,如图2-1。如果此时,得到的降解产物还不足以形成完整的降解途径,可以再根据获得的几个降解产物推测新的产物分子式,得到一张靶向筛查的列表,根据(具体步骤参见飞行时间质谱操作手册4.2)中MasterView靶向筛查的方式,寻找遗漏的降解产物。反复多次,直至补充完整整个降解通路。
图2-1 降解产物的结构式及降解途径的推测 (Chen et al., 2023)
参考文献:
张杨, 谢笔钧, 孙智达. 蓝莓酒渣、果、酒中花色苷成分鉴定及酒渣与果中花色苷抗氧化活性比较. 食品科学. 2016,37(02):165-171.
Chen W, Gao Y, Shi GL et al. Enhanced degradation of fomesafen by a rhizobial strain Sinorhizobium sp. W16 in symbiotic association with soybean. Applied Soil Ecology, 2023, 187:104847.
Fan LL, Wang Y, Xie PJ et al. Copigmentation effects of phenolics on color enhancement and stability of blackberry wine residue anthocyanins: Chromaticity, kinetics and structural simulation. Food Chemistry, 2019, 275:299-308.
Giusti MM, Rodrı´guez-Saona LE, Griffin D et al. Electrospray and tandem mass spectroscopy as tools for anthocyanin characterization. Journal of Agricultural and Food Chemistry, 1999, 47(11): 4657-4664.
Usenik V, Štampar F,Veberič R. Anthocyanins and fruit colour in plums (Prunus domestica L.) during ripening. Food Chemistry, 2009, 114(2):529-534.
资料整理:杨晨晔
编辑发布:王 宁




